直径Φ 倒角量a 角度θ 正切函数tanθ 正弦函数sinθ 余弦函数cosθ 圆弧半径R 乘以号x
除以号÷ 先运算()内结果,再运算【】,再运算全式

一、外圆倒斜角计算
公式例子:Φ30直径外端倒角1.5x60°程式:GoX32Z2
1,倒角起点直径X=Φ-2xaxtanθ°X=30-2x1.5x1.732=24.804G1X24.804Z0F0.2
2,倒角起点长度Z=0其中tan60°由数学用表查出G1X30Z-1.5F0.15
3,倒角收点直径X=Φ;G1Z-50
4,倒角收点长度Z=-a。。。。。。

二、内圆倒斜角计算
公式例子:Φ20孔径外端倒角2x60°程式:GoX18Z2
1,倒角起点直径X=Φ+2xaxtanθ°x=20+2x2x1.732=26.928G1x26.928Z0F0.2
2,倒角起点长度Z=0G1X20Z-2F0.15
3,倒角收点直径X=Φ;G1Z-30
4,倒角收点长度Z=-a。。。。。。

三、外圆倒圆角计算
公式例子:Φ35直径外端圆角R3程式:GoX36Z2
1,倒角起点直径X=Φ-2*RX=35-2x3=29G1X29Z0F0.2
2,倒角起点长度Z=0G3X35Z-3R3F0.15
3,倒角收点直径X=Φ;G1Z-30
4,倒角收点长度Z=-R。。。。。。
四、内圆倒圆角计算
公式例子;Φ20孔径外端圆角R2程式:G0X18Z2
1,倒角起点直径X=Φ+2*RX=20+2x2=24G1X24Z0F0.2
2,倒角起点长度Z=0G2X20Z-2R2F0.1
3,倒角收点直径X=Φ;G1Z-25
4,倒角收点长度Z=-R。。。。。。

五、G90、G92数控指令R锥度值的计算:
例子:大端Φ35小端Φ32锥体长20牙长16mm让刀3mm加工
1、计算图上锥度比例值:(32-35)/20=-0.15程式;G0X37Z3
(起始端直径-收点端直径)÷锥体长度G92X33.8Z-16R-1.425F2
2、计算G92实际R值(车牙时,起始端至收点端的半径差):-0.15X1/2X(16+3)=-1.425X33.1
锥度比例值x1/2x(有效牙长度+让刀位置)X32.6
3、G92的收刀点直径:35+(-0.15X(20-16))-2X1=32.4X32.4
锥体收点端直径+锥度比例值x(锥体长度—有效螺纹长度)—2x牙高。。。。。
六、球冠的高度计算公式:
1、当截面为劣弧时。球冠高度=R-【R2-(X/2)2)】的方差的平方根

2、当截面为优弧时。球冠高度=R+【R2-(X/2)2)】的方差的平方根

例如:Φ35外径前端车制一个R50的圆弧面
弓高=R50-【R50乘方-(35/2)乘方】的方差的平方根=3.162
程序:S800M3G99T0101
G0X36Z2
G71U2R1F0.25
G71P10Q40U0.8W0.1
N10G0X0
N20G1Z0
N30G3X35Z-3.162R50
N40G1X36
G70P10Q40S1500F0.1
G0X100Z50
M5
M30
例如:Φ40棒料车制尾柄为Φ18的R20的球体
弓高=R20+【R20乘方-(18/2)乘方】的方差的平方根=37.86
程序:S800M3G99T0101
G0X41Z2
G71U2R1F0.25
G71P10Q40U0.8W0.1
N10G0X0
N20G1Z0
N30G3X40Z-20R20
N40G1X41
G70P10Q40S1500F0.1
G0X100Z50
T0202
G0X44Z-37.86
G72W2.5R0F0.25
G72P50Q80U0.8W0
N50G0Z-20
N60G1X40
N70G3X18Z-37.86R20
N80G1Z-37.86
G70P50Q80S1500F0.1
G0X100Z50
M30
七、锥体与球体结合体的接点计算:
1、顶端X=0Z=0
2、圆弧与锥体相切点X=2xRxcosθ°
Z=-(1-Sinθ°)xR
收点端X=锥体大端ΦZ=-(Φ-切点X)÷2÷tanθ+切点的Z
例如;Φ32棒料车制一个前端为R3的60度顶尖
圆弧与锥体切点X=2*3*0.866=5.196
Z=-(1-0.5)*3=-1.5
锥大端=32
锥体大端=-(32-5.195)÷2÷0.57733+(-1.5)=-24.713

程序:S700M3G99T0101
G0X32.5Z2
G71U2R1F0.25
G71P10Q40U0.8W0.1
N10G0X0
N20G1Z0
N30G3X5.196Z-1.5R3
N40G1X32Z-24.713
G70P10Q40S1500F0.1
G0X100Z50
M5
M30

八、锥台圆角的计算:
1、起始端X=Φ-2R【(1-sinθ)*tanθ-cosθ】Z=0
2、切点X=Φ+2R(1-sinθ)*tanθZ=-(1-Sinθ)*R
3、收点X=锥体大端直径ΦZ=-(Φ-切点X)÷2÷tanθ+切点的Z(也就是锥长)

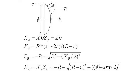
九、大圆弧R与小圆弧r的接合:
1、起始端X=0Z=0
2、切点XZ见上图
3、收点X=ΦZ=见上图
例如直径100棒料车R80大球端,r10卷边
S500M3T0101G99
G0X102Z2
G71U2.5R1F0,25
G71P10Q50U0.8W0.2
N10G0X0
N20G1Z0
N30G3X91.428Z-14.347R80
N40G3X100Z-22.554R10
N50G1Z-23
G70P10Q50S800F0.12
G0X150Z50
M5
M30


承担因您的行为而导致的法律责任,
本站有权保留或删除有争议评论。
参与本评论即表明您已经阅读并接受
上述条款。